I haven’t posted anything looking at biathlon for a while, so…
Since biathlon has had much more consistent race formats over the years and since we don’t need to split up the data by technique, we should be able to get a clearer picture of any trends on the gun-happy side of things.
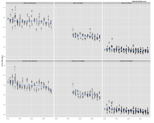
The graph below is too small to see. Â You’ll have to click through for the full version, which ought to be fairly self-explanatory.
These are the top 10 times in each major race. Â We can clearly see that race times have been falling. Â In fact, if you look closely you’ll see that times have dropped quite a lot in some cases.
Some other things we can note: the mass start races, true to form, seem a bit slow for the distance, particularly for the women. Â It’s so strange that people find it so hard (psychologically) to press the pace in a mass start race…
You can’t really see it in the sprint races, but the rest display a leveling of the time trends followed by an second dip. Â The individual races seemed to plateau a bit between 1998-2003 while the mass start races appear to exhibit a similar trend between 2003-2007. Â It could just be a fluke, I suppose. Â In any case, I can’t think of any explanation for it at all.

{ 3 } Comments