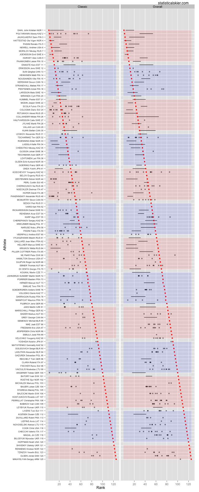
As promised, race snapshot graphs today’s sprint races. Â First the reduced versions (top 30, plus North Americans) and the full versions are below the fold (the names on those might be a bit small; there were a lot of racers!).
Updated: Bit of a mishap with some of the athlete’s names created some errors. Â Fixed now, hopefully.
Obviously the red dots for sprint races are a bit more uniform in placement, since I’m using rank rather than FIS points! Â I left them in as a visual aid for comparison with each athlete’s other races. Â Click on the full versions below the fold to expand them…




{ 1 } Trackback
[…] This post was mentioned on Twitter by WoXC_D, statskier. statskier said: Race Snapshots: Kuusamo Sprint http://goo.gl/fb/Tyhbe […]
[WORDPRESS HASHCASH] The comment’s server IP (208.74.66.43) doesn’t match the comment’s URL host IP (74.112.128.10) and so is spam.
Post a Comment